The Heisenberg-Weyl group
Let's have some fun with the Heisenberg group ! It is the group of upper triangular matrices of the form:
Muliplying two such mat...
What's a Moufang loop?
In 1935 Ruth Moufang published a paper "Zur Struktur von Alternativkörpern", where she intoduced an algebra very similar to groups, but nonassociative.
https://en.wikipedia.org/wiki/Moufang_loop
Back then people said quasigroup instead of loop. A loop is simply a complete operation with inverses and an identity element. Today, a quasigroup need not have an identity.
Definition
Let's look at its definition. The Moufang identities are a generalization of associativity:
on associativity
Note that this is an unfinished blog post.

another diagram:

The law of associativity allows to change the order in which operations are applied.
a(bc) = (ab)c
example: subtraction and division are nonassociative
Associativity and commutativity are independent
define a(+)b = a+int(b), then a(+)(b(+)c) = (a(+)b)(+)c, but a(+)b != b(+)a
Example by D.S Grimsditch in The Mathematical Gazette Vol 55 No. 393, I learned about it from ...
Ordinals from loops
In model theory, ordinals can be related to the strength of formal systems. Programming languages are formal systems, so what are the ordinals for various constructs in modern programming languages? For example, the following would print ten exclamation marks, or bangs:
for(i in 1..10) print "!";
So for loops, where we have to specify the number of times it is supposed to repeat, can be made to print any finite number of bangs. The first ordinal that cannot be reached by a for loop is , the smallest of the infinite ordinals.
Note, that all this can be achieved with a single for loop, as long as we are allowed to mention the desired ordinal as bounds. For now, let's not allow infinite ordinals as bounds in an...
What is a p-adic metric?
I love learning about new ways to do geometry. Or rather, about strange new ways to redefine what geometry might mean. Peter Scholze published lectures about p-adic geometry, and this series of posts are the result of my feeble attempts to get a bit closer to understanding what these are about! In fact, Scholze is merely responsible for some recent progress in the area, the idea is well over a century old. I hope to cover some of his work in future posts, though I have to admit that that seems far away the moment.
Other relevant names are Lafforgue, ... TO BE WRITTEN
Ever since Riemann, we know that geometry is defined via a metric. So what's the metric in p-adic geometry?
P-adic what?
Kurt Hensel first described p-adic numbers in 1897, ...
Systolic geometry
A systole is the shortest loop you can put in a space that cannot be contracted further. Systolic geometry is about estimating properties of that space given the length of its systole.
Consider a torus. It doesn't have to have the same thickness everywhere. Now, the systole will be a loop at the thinnest spot. Using its length we can give a lower bound for the surface of the torus. Think about it, when you shrink the torus too much you'll find a better place to put a shorter systole.
The length of the systole gives a lower bound for the area of a torus! This idea can be generalized...
It's only a little weird to relate a length to an area. At least, there are quite a few classic theorems relating length and area. But in higher dimensions t...
Lecture: Tom Leinster on operads and entropy
Tom describes operads, and gives simple examples (constant, monoidal, polynomials), and a probabilistic one. He then describes operad algebras, interconnecting operads. For probabilistic operads it leads to Shannon entropy. This is a feature of operad algebras in general, a fact Tom apologizes or it to be not very intersting! The main result can be brought down to an axiomatic description of information-losing processes modelled as functions. Linearity.
Tom Leinster: "The categorical origins of entropy" [youtube]
Chomology for kids, part 2: computing homology groups
Before we get to the fun, let me thank everybody who gave feedback, of which there has been a lot. And important criticism from people who know much better than me. My short list of homotopy groups of the sphere was completely borked ([twitter], [twitter]). Thanks Yuhang Chen, and Rogier Brussee!
and the homotopy groups of the 2-torus commute, so they are the same as as the homology groups ([twitter]). Thanks Ward Beullens!
and my claim that homology and torsion classify manifolds lead much deeper ([twitter]) than I had expected. Also: I was quite wrong. I seem to have conflated Whitehead's theorem with Hurewicz' theorem, and imagined something too nice to be true. Special thanks to John C. Baez, Daniel Litt, and Rogier Brussee for thei...
Cohomology for kids, part 1: introduction
From its beginning in topology, this idea became a dominant method in the mathematics of the second half of the twentieth century.
https://en.wikipedia.org/wiki/Cohomology
What a grandiose thing to say! And it's true! Keep reading!
Here's this post on twitter: [twitter].
Homology is a topological invariant
To any given space, let's call it as in manifold, a homology associates some data: a tower of homology groups , one for every dimension . For example:
Lecture: Reverse engineering M.C. Escher
Reverse engineering M.C. Escher's pictures using the Droste effect, and then putting them together again, but differently. See Bart de Smit's talk at the Symposium held on the occasion of the dutch translation of Roger Penrose's book 'Road to Reality':
The event is a recent one from January this year. Penrose is sitting in the audience, and I suppose his question is somewhat cheeky as he had a personal relationship to Escher himself...
Here's Roger himself in his talk 'Eschermatics' from last year
in which he tells a bit about his (regrettably) short contacts with Escher.
https://mastodon.cloud/@RefurioAnachro/101763083228462720
Anatomy of the ellipse

They have been studied extensively as planar sections of a cone (conics) by Apollonius of Perga more that 2000 years ago. He has been considered the autority on this topic through the ages, and even the names, ellipse, hyperbola and parabola go back to him.
http://www-groups.dcs.st-and.ac.uk/~history/Biographies/Apollonius.html
Apollonius threw two points on the plane (called foci), and then defined the ellipse as the set of points (locus in latin) where the sum of the two distances to the foci stays constant:
Oswald Teichmüller, the Nazi maths genius

John Huerta called for posts about mathematicians, like this:
The idea is to fill Google+ with math. Whoever +1's this post will receive a mathematician's name and will have to post a theorem (or lemma, proposition, etc) by that mathematician along with a short description.
At age 3, Oswald Teichmüller (1913-1943) surprised his mother when she realized he already could count. Showing signs of a genius very early, he later on became a passionate Nazi...
Studying in Göttingen it was him who forced Edmund Landau to stop teaching because he was jewish. Most of his 54(!) papers got published in 'Deutsche Mathematik', a journal directed by his friend Ludwig Bieberbach, further dedicated to publish racist ideology alongside and emphasize "th...
Elliptic curves

...are best known for their applications in cryptography. They are also the beginning of a long story about uncovering a landscape of highly -complicated- interesting structures. First appearance goes back to Diophantus of Alexandria, who lived some time in the AD 200's. There's a simple geometrical approach to get at them, but first, let's look at what a short answer usually looks like:
The following algebraic equation is the most important way to get an elliptic curve:
What is its meaning? You can also look at pictures like, for example, th...
Diagram 16: Brauer algebra

This structure is named after Richard Dagobert Brauer, who first published about it in 1937. He's also known for a theorem by Brauer and K. A. Fowler which has been important for the classification of finite simple groups. He's contributed to number theory, invented modular representation theory, and more - so he's quite a star!
I got the photo from the wikipedia page about him. The other person is his wife Ilse Brauer, also a mathematician. Reading about researchers of that time is reading about exciting times for mathematics. You could as well start right here:
http://en.wikipedia.org/wiki/Richard_Brauer
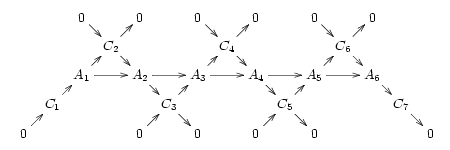
How does one work in a Brauer algebra? Let me explain: The objects of this algebra are graphs, constructed over a pair of sets of n el...
Diagram 15: Implicit function / contour plot
It's a way to visualize the objects of (low-dimensional) real algebraic geometry. The tiny graph in the middle below shows the zero locus for an elliptic curve (that's just a fancy class of polynomials in 2 variables). I'll explain the other image below, please read on.
What's an implicit function? You've seen functions defined like this:
y = x^2
Taking that one as equation we could subtract y and write instead:
x^2 - y = 0 or f(x) - y = 0
The question now is, can we have another function around the y? Like this:
f(x) - g(y) = 0
The answer is, indeed we can! This equation happens to have a circle as zero locus:
x^2 + y^2 - 1 = 0
Digression: One thing i should tell you is that, in principle, we could try to solve the resulting equation ag...
Lambda calculus

Lambda calculus is the elegant sibling of the Turing machine. It is also much simpler to describe and in many ways easier to work with. Bear with me and i'll quickly show you how it works:
-
Abstraction: (λx.t) defines an anonymous function and is a fancy way to write f(x) = t, where t is some term, without giving the function a name ("f"). It basically tells us that the variable in t is called x. If the notation confuses you, maybe it helps to remember that greek letter lambda "λ" and the dot "." are just punctuation marks.
-
Application: You can concatenate two terms a and b and write ab. You then say (the function) a is applied to b.
-
The two can be combined in beta reduction: The reduction of (λx.t)y is just t with x replaced by y.
...
Diagram 14: Bifurcation diagram / Feigenbaum constant
It shows the behaviour of attracting fixed points of a dynamical system under parameter changes. It's a very popular diagram, read on and i'll tell you why that is, and some of it's secrets...
Remember diagram 12, the logistic map?
It's a simple model for restricted population growth . A low reproduction rate r lets the population converge to a single limit. Increasing r, at some point, a bifurcation happens, and in the limit the population will oscillate between two values. That's called period doubling .
The Feigenbaum constant is named due to Mitchell Jay Feigenbaum, who noticed that, during period doubling, the next period is compressed by a common factor (about 4.6692). PlanetMath puts it like this:
Feigenbaum discovered that this co...
Diagram 13: Mumford's treasure map / the arithmetic surface

David Mumford first came up with this diagram in his 'red book'. Lieven Lebruyn writes: "It was believed to be the first depiction of one of Grothendieck's prime spectra [...], and as such was influential for generations of arithmetic geometers".
Also called the arithmetic surface, it's a natural habitat for F_1, the contradictory field with one element. It is studied nevertheless, evading the problematic ontology by euphemizing it as "virtual"... Let me first explain what we see in the picture:
The vertical lines correspond to the prime fields. That's clockwork arithmetic for prime number sized clock faces. Non-prime number sized clockwork algebras suffer zero divisors. For example,
24:00 is zero'th hour,
so 2*12 is zero,
that means 2 di...
Diagram 12: Cobweb plot / logistic map

It's a way to graphically calculate iterations of a function. You start with a graph of some function f(x). Then add the diagonal d(x)=x. Given a starting value x, you can find f(x) by going vertically up until you hit the curve of the function.
Before we can start over (that's what iteration is about), we need to convert our y coordinate on the curve to a point on the x axis. To get there, go horizontally to the diagonal. On it, y = x so the new x position is right below on the x axis. The animation below shows lots of paths obtained like that for a famous family of functions i'll talk about in a minute.
This technique can also be found under graphical iteration or Verhulst diagram . That name is in honor of Pierre François Verhulst, who...
What's a sheaf?

A sheaf is an especially nice presheaf . Then what's a presheaf ? Read on and i'll tell you.
The guy in the picture is Jean Leray , the inventor of sheaves. Modern algebraic geometry has been discussed in terms of category theory ever since Alexander Grothendieck defined the abelian category and presheaf in the 1955's. It'd be nice to do a full intro to category theory here, but also a bit excessive so we skip that today. Look here for a little historical overview on sheaves:
http://en.wikipedia.org/wiki/Sheaf_theory#History
Besides other celebrities i recognized Hassler Whitney who is given as the founder of the modern definition of cohomology , a related notion i'm not going to talk about today. I knew Whitney for his contributions to g...
Diagram 11: Hasse diagram / poset

The Hasse diagram, named after Helmut Hasse (1898–1979), shows a finite poset (partial ordered set). That's any structure on which a comparison relation "≤" is defined that behaves like this (from wikipedia on "poset"):
a ≤ a (reflexivity); if a ≤ b and b ≤ a then a = b (antisymmetry); if a ≤ b and b ≤ c then a ≤ c (transitivity).
Finite posets can be represented as a directed graph without loops. The computer scientist's acronym is DAG (directed acyclic graph). A Hasse diagram is a picture of a DAG, representing a poset.
The rational numbers are a simple example for a poset. But they're furthermore totally ordered , because for any two rationals we can decide which is smaller. Their Hasse diagram is a line.
Integers are even well ordered...
On algebraic geometry

The name of the game is spot the error ! I'm tired, work doesn't, and all is jellyfish. As my son's finally asleep i'm ready to make mistakes. Let's do that ambitionally and see what i can absorb / convey about modern algebraic geometry. In an hour. I do find motives pretty sexy because i have no clue what they are. But i fear that would be aiming too high for now. So this is going to be a series of posts.
As you know, a circle can be described by the equation x^2 + y^2 = r^2 with x and y variables and r being a constant (also called radius in this case). So the circle is all points in the x,y space where the term x^2 + y^2 - r^2 is zero (the vanishing locus). That's an example from classic algebraic geometry. I trust modern math distingu...
Diagram 10: Phase diagram / Bunimovich stadium

This time i'll show you how to read phase space diagrams. But first, some billiards:
Boltzmann famously invented statistical mechanics by thinking of atoms as billiard balls. Artin examined billiards in the hyperbolic plane. Later, Birkhoff considered smooth billiards - the ones whose border is (infinitely often) differentiable. He then investigated which of those might be integrable . That is supposed to mean that a path can be predicted because it is periodic or nearly periodic. - a case studied before by Poincare, who was trying to describe all billiard paths as nearly periodic. Birkhoff was able to show that the elliptic table is indeed integrable, and conjectured that all integrable smooth billiards are elliptic:
G. D. Birkhoff: "On ...
about Grassmann variables

Grassmann variables were first used by the german mathematician and linguist Hermann Günther Graßmann (1809-1877). Together with the numbers they provide a minimalistic model for an anticommutative algebra and capture the essence of what is so different about anticommutative spaces. How does it work?
First, we introduce symbols for denoting Grassmann variables. Traditionally the greek letter theta is used θ_1, θ_2, ...
For our purposes, two symbols will do and i'll call them t and T because i love ascii. Again, traditionally one would use θ and θ-bar here, drawing an actual bar above the θ. Those symbols should anticommute with each other, that is, the following must hold:
tT = -Tt, sometimes written as tT + Tt = 0
contrasting commutativi...
Diagram 9: Tropical geometry (tropical curve)
The tropical algebra is a semiring (that's the same as a ring where addition does not need to have an inverse). To make numbers tropical we replace addition a+b by min(a,b) and multiplication a*b by addition a+b. What you get is a very simplistic version of the numbers.
Legend says that the brazilian Imre Simon, who pioneered much of the subject, was having a hard time convincing his french colleagues to take him seriously - the idea was just too tropical...
But one can do geometry with these "numbers". The main subject in this area are polynomial curves, like f(x,y) = x^2 + y^2 - 1. The picture below on the right shows a cubic curve. It's helpful to add a dimension, just for visualization. You can see what's going on in the other image, i...
diagram 8: young diagram / young tableau

In a Young diagram each row has less placeholder squares than the previous. To get a Young tableau we start with a n-square Young diagram and place the numbers from 1 to n into the squares in a particular way: If you step from a given square tor the right or down, the number there has to be bigger than the one in the original box.
Sometimes the top left corner gets the biggest number and right/down has to decrease which, of course, yields the same structure. You can flip a Young diagram along the diagonal to obtain another, usually a different one. And by the way, the french like it upside down.
Alfred Young first used these in 1900 and i'll be trying to give you an idea what for. First we need some basics:
A group is a way to describe s...
diagram 7: covering map / covering graph

Last time we saw a way to "simplify" a Klein bottle by unfolding it into a square. The figure eight graph B below can be interpreted as an even simpler picture, this time for a two-holed torus. It says that, given a starting point a, there are two loops wich cannot be shrunk to a point.
Just above there is a different but, in a special way, similar graph X. It has two vertices and four edges. Between those graphs we have an arrow p representing a projection from the upper to the lower graph. Here, two pairs of edges in X are mapped to the ones with the same label in B, the vertices x and x' both go to a.
Funny thing is, that arrow points from the complicated X to the simple B, yet we speak of B as generating X. This is because given some ...
Diagram 6: Fundamental polygon

A fundamental polygon is one with edges labeled by letters and arrows, such that each letter occurs twice. The idea is to think of edges labeled with the same letter as "essentially the same". One could just glue those together, but in 3d this won't always work out nicely without self-intersections.
The Picture below shows the fundamental polygon for the Klein bottle which cannot be embedded in our 3d. Our diagrams have been invented to fully replace the need for the power to imagine complicated surfaces. They are halfway to a purely algebraic representation of using just a word of letters and antiletters (inverse letters).
Lets play with those and, say, start with any polygon and attach labels and arrows like random. What we get is calle...
Diagram 5: Chain complex and short exact sequence

A chain complex is a notation for a list of functions which can be nested:
f(g(x)) Z -- g --> X -- f --> Y.
I learned about chain complexes from Allen Hatchers "Algebraic Topology" (see below for a link) and will give you the original approach as it illustrates the most popular use of chain complexes. It goes like this:
Given a triangulation of a topological surface, we'd like to write down how surfaces are attached to edges and edges are attached to vertices. (generally, how n-cells are attached to (n-1)-cells)
This is done in a formal sum. That means it is more of a data holding structure than an actual numerical sum. But we do allow sum arthmetics so we can simplify some stuff. It's pretty much like a sum over opaque variables wi...
Diagram 4: Venn-, Euler- and spidergramm

Venn diagrams have been popular to teach elementary set theory so you probably have seen one in school. One for order n shows all 2^n intersection sets. So all Venn diagrams of order n describe the same structure. Wikipedia has images up to order 6, some suggested by Venn himself:
http://en.wikipedia.org/wiki/Venn_diagram#Edwards.27_Venn_diagrams
Henderson proved in 1963 that you can find symmetric Venn diagrams of order n only if n is a prime number. Here's a beautiful one for order 11 which has been found only recently by Khalegh Mamakani und Frank Ruskey:
http://arxiv.org/abs/1207.6452
An Euler diagram is similar but only shows the subsets one is interested in. By leaving the uninteresting parts out one can highlight some subsets and i...
Diagram 3: Penrose tensor diagram notation

The image shows the Ricci identity written in Penrose's graphical notation. Tensor calculus is a generalization of linear algebra (you know, vectors and matrices) and was developed around 1890 by Gregorio Ricci-Curbastro under the title "absolute differential calculus", and originally presented by Ricci in 1892. (see wikipedia on tensors)
It is the natural framework for general relativity. Besides a great application for them, Einstein's contribution here was his summation convention. It basically tells you to build a sum over each index whenever you see the same index in sub- and superscript used in a symbolic expression. Equations become simpler because we don't need to plaster them with summation signs and that is pretty ingenious.
Oka...
Diagram 2: Nomogram
A Nomogram is a graphical computing aid, a paper calculator so to speak. The idea is that you can read off one missing value when the others are given.
The picture below shows various Rocket engines. The parameters are: Exhaust velocity (horizontal), rocket speed (vertical) and the proportion of fuel over rocket weight (diagonal).
For example, we'd like to travel from Eart to Venus with at most 1g acceleration. Conveniently there is a horizontal line labeled like that starting near word "destination" on the top left.
Now we're left to trade off exhaust velocity against mass ratio. If we only want to take an additional 50% fuel with us (compared to the unfueled rocket weight) we'd need to have an exhaust velocity around a million meters per...
Diagram 1: The enchanted forest problem
How to place the circular and perfectly reflecting trees such that the light of a match cannot escape to infinity?
http://mathoverflow.net/questions/38307/trapped-rays-bouncing-between-two-convex-bodies/38314#38314
That mathoverflow question only asks for a single contained ray, which got an interesting answer by the Bill Thurston (who passed away last August).
It is where Joseph O' Rourke found a place to helpfully provide image, references and, for me, our problem. It seems it is yet unsolved. Considering a closed room instead, one can ask wether there is a point from which the light misses some places. This is indeed possible, see e.g. MathWorld on the "Illumination Problem":
http://mathworld.wolfram.com/IlluminationProblem.html
If you...
honored scientist goes crazy, video included
John Horton Conway - the free will theorem
He's insightful and admits that trying to contribute substatially to another field after a successful life as an expert in one's own field is a sign for dementia. But aside from that i found this series of talks quite entertaining.
First the speaker assumes that you can create pairs of particles which are in the same state. This assumption is named TWIN.
Using three cubes he constructs a model for the Stern Gerlach quantum experiment to illustrate the puzzle of why hidden variables won't work. The task is to distribute black and white dots on the cube while respecting the SPIN rules.
If we only do say, 6 experiments on the twins, it is always possible to place those 6 black dots such that they ob...